Вариант 1 Ответы к Упражнениям по Алгебре 8 класс Дидактические материалы Мерзляк Алгоритм успеха Вентана-граф

Решебник 1

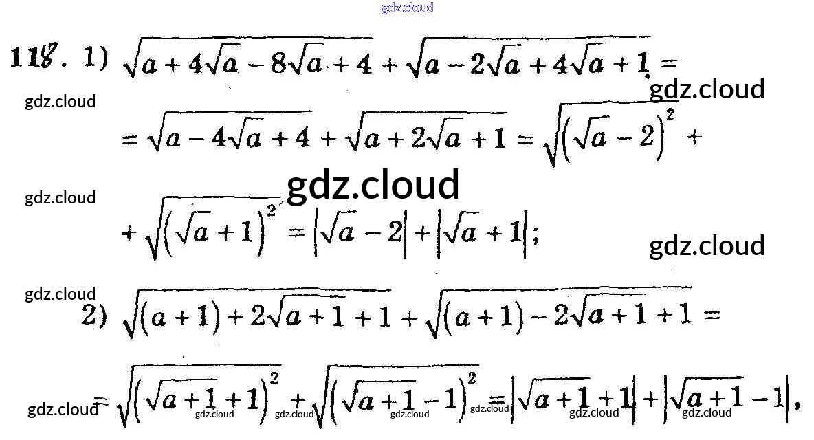
упражнение / вариант 1 / 118

Решебник 2

упражнение / вариант 1 / 118

Ответ на задание 118 Дидактические материалы Алгебра за 8 (восьмой) класс Мерзляк, Полонский, Рябинович, Якир Алгоритм успеха 2016 ФГОС онлайн и без номера телефона.