§2 Ответы к Главе 1. Решение треугольников по Геометрии 9 класс Учебник Мерзляк Углубленный уровень Вентана-граф
Решебник
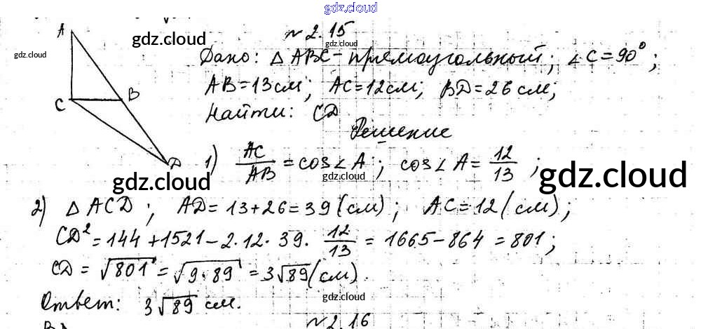
глава 1 / §2 / 2.15
Ответ на задание 2.15 Учебник Геометрия за 9 (девятый) класс Мерзляк, Поляков Углубленный уровень 2019
ФГОС онлайн и без номера телефона.