Ответы. Задачи по Геометрии 9 класс Учебник Мерзляк Вентана-граф, Просвещение

Решебник к учебнику 2016

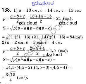
задача / 138

Решебник к учебнику 2023

задача / 138

Ответ на задание 138 Учебник Геометрия за 9 (девятый) класс Мерзляк, Полонский, Якир 2016, 2023 ФГОС онлайн и без номера телефона.