Ответы. Глава 5. Элементы комбинаторики и теории вероятностей (упражнения) по Алгебре 9 класс Учебник Макарычев Просвещение, Просвещение

Решебник 2014 №1

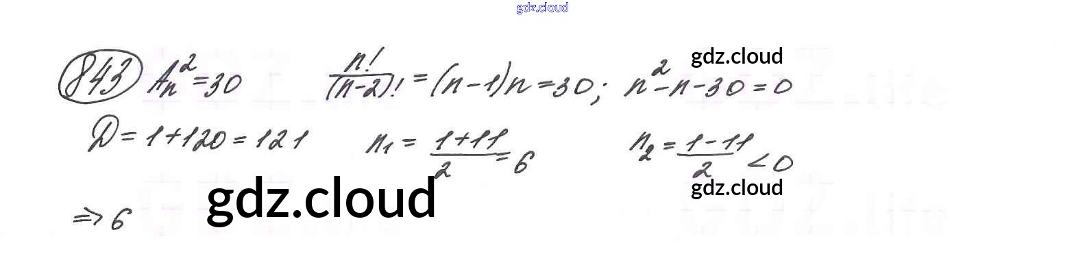
глава 5 / 843

Решебник 2021

глава 5 / 843

Решебник 2014 №2

глава 5 / 843

Ответ на задание 843 Учебник Алгебра за 9 (девятый) класс Макарычев, Миндюк, Нешков, Суворова 2014, 2021 ФГОС онлайн и без номера телефона.