§3. Умножение и деление обыкновенных дробей Ответы к Главе 1 по Математике 6 класс Учебник Виленкин Мнемозина

Решебник №1

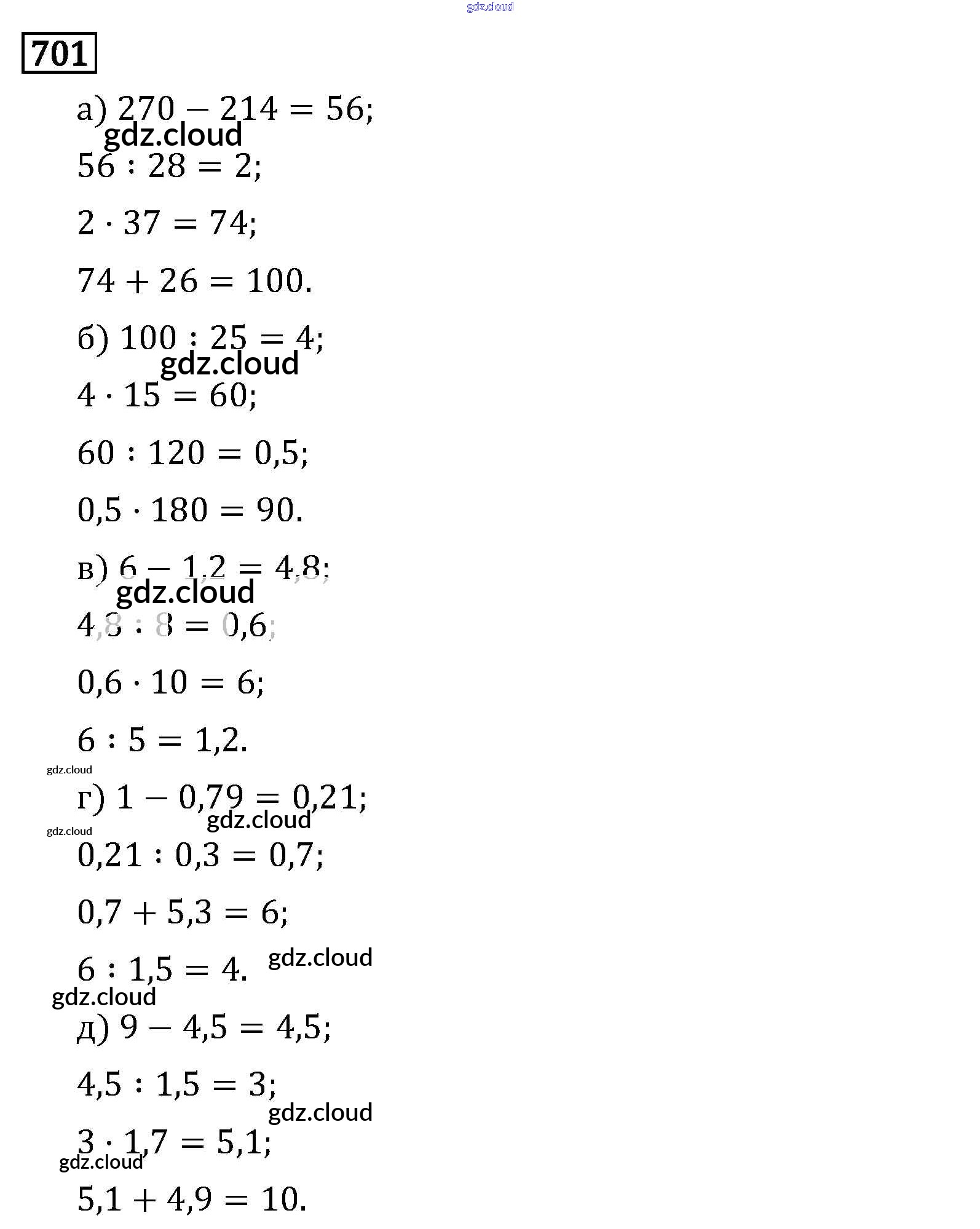
глава 1 / §3 / 701

Решебник №2

глава 1 / §3 / 701

Решебник №3

глава 1 / §3 / 701

Решебник №4

глава 1 / §3 / 701

Решебник №5

глава 1 / §3 / 701

Решебник №7

глава 1 / §3 / 701

Решебник №9

глава 1 / §3 / 701

Ответ на задание 701 Учебник Математика за 6 (шестой) класс Виленкин, Жохов, Чесноков, Шварцбурд 2014 ФГОС онлайн и без номера телефона.