§2. Сложение и вычитание дробей с разными знаменателями Ответы к Главе 1 по Математике 6 класс Учебник Виленкин Мнемозина

Решебник №1

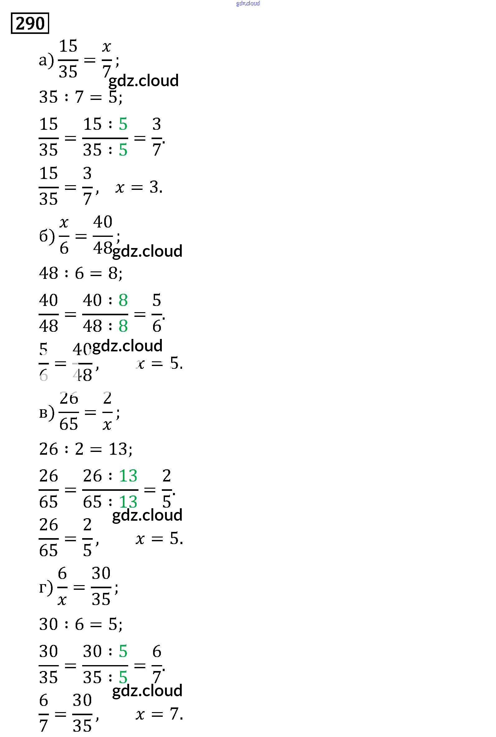
глава 1 / §2 / 290

Решебник №2

глава 1 / §2 / 290

Решебник №3

глава 1 / §2 / 290

Решебник №4

глава 1 / §2 / 290

Решебник №5

глава 1 / §2 / 290

Решебник №6

глава 1 / §2 / 290

Решебник №7

глава 1 / §2 / 290

Решебник №8

глава 1 / §2 / 290

Решебник №9

глава 1 / §2 / 290

Ответ на задание 290 Учебник Математика за 6 (шестой) класс Виленкин, Жохов, Чесноков, Шварцбурд 2014 ФГОС онлайн и без номера телефона.