§1. Делимость чисел Ответы к Главе 1 по Математике 6 класс Учебник Виленкин Мнемозина

Решебник №1

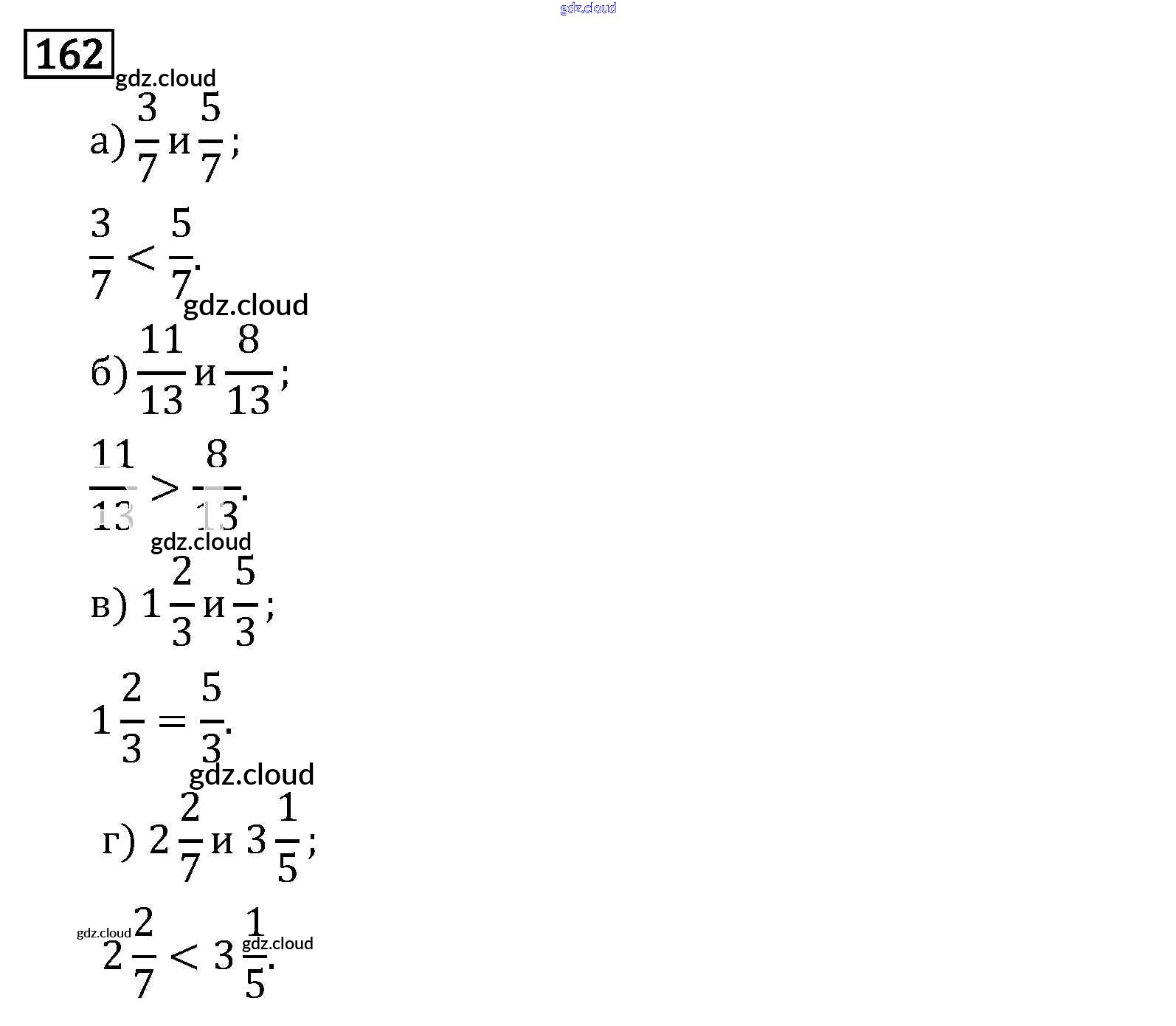
глава 1 / §1 / 162

Решебник №2

глава 1 / §1 / 162

Решебник №3

глава 1 / §1 / 162

Решебник №4

глава 1 / §1 / 162

Решебник №5

глава 1 / §1 / 162

Решебник №6

глава 1 / §1 / 162

Решебник №7

глава 1 / §1 / 162

Решебник №8

глава 1 / §1 / 162

Решебник №9

глава 1 / §1 / 162

Ответ на задание 162 Учебник Математика за 6 (шестой) класс Виленкин, Жохов, Чесноков, Шварцбурд 2014 ФГОС онлайн и без номера телефона.