Вариант 4 Ответы к Самостоятельным работам по Математике 6 класс Дидактические материалы Чесноков Академкнига

Решебник 1

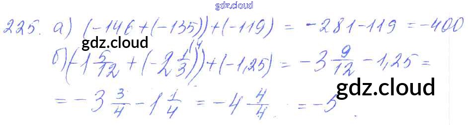
самостоятельная работа / вариант 4 / 225

Решебник 2

самостоятельная работа / вариант 4 / 225

Ответ на задание 225 Дидактические материалы Математика за 6 (шестой) класс Чесноков, Нешков 2014 ФГОС онлайн и без номера телефона.