Ответы к упражнениям по Математике 5 класс Учебник Зубарева Мнемозина

Решебник 1

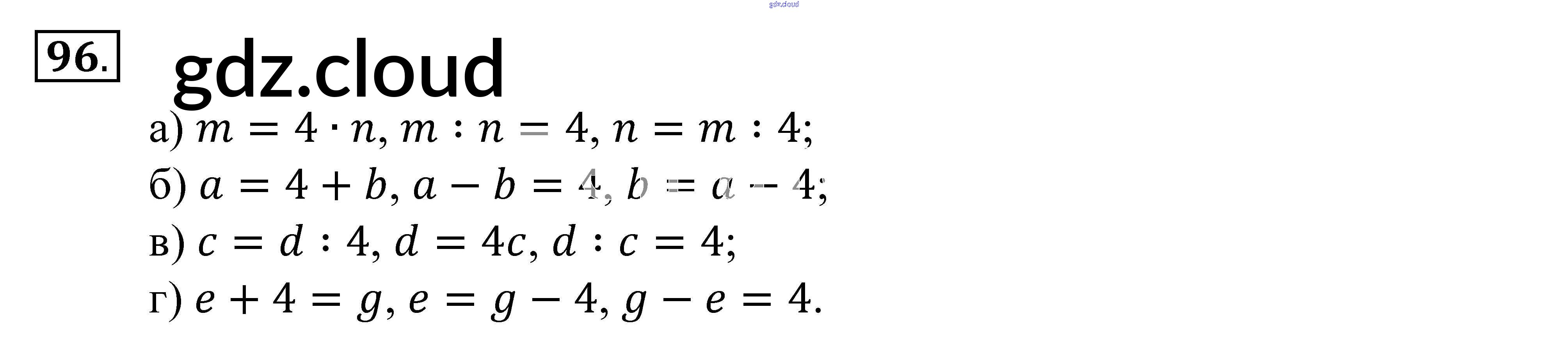
упражнение / 96

Решебник 2

упражнение / 96

Решебник 3

упражнение / 96

Решебник 4

упражнение / 96

Решебник 5

упражнение / 96

Ответ на задание 96 Учебник Математика за 5 (пятый) класс Зубарева, Мордкович 2015 ФГОС онлайн и без номера телефона.