Глава 6. Десятичные дроби Часть 2 (ответы) по Математике 5 класс Учебник Виленкин Часть 2 Просвещение
Решебник
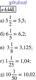
часть 2 / глава 6 / 6.440
Ответ на задание 6.440 Учебник Математика за 5 (пятый) класс Виленкин, Жохов, Чесноков, Александрова, Шварцбурд 2021 Часть 2
онлайн и без номера телефона.