Глава 5. Обыкновенные дроби Часть 2 (ответы) по Математике 5 класс Учебник Виленкин Часть 2 Просвещение
Решебник
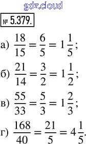
часть 2 / глава 5 / 5.379
Ответ на задание 5.379 Учебник Математика за 5 (пятый) класс Виленкин, Жохов, Чесноков, Александрова, Шварцбурд 2021 Часть 2
онлайн и без номера телефона.