Ответы к главе 1. Натуральные числа (упражнения с 1 по 849) по Математике 5 класс Учебник Виленкин Мнемозина

Решебник №1

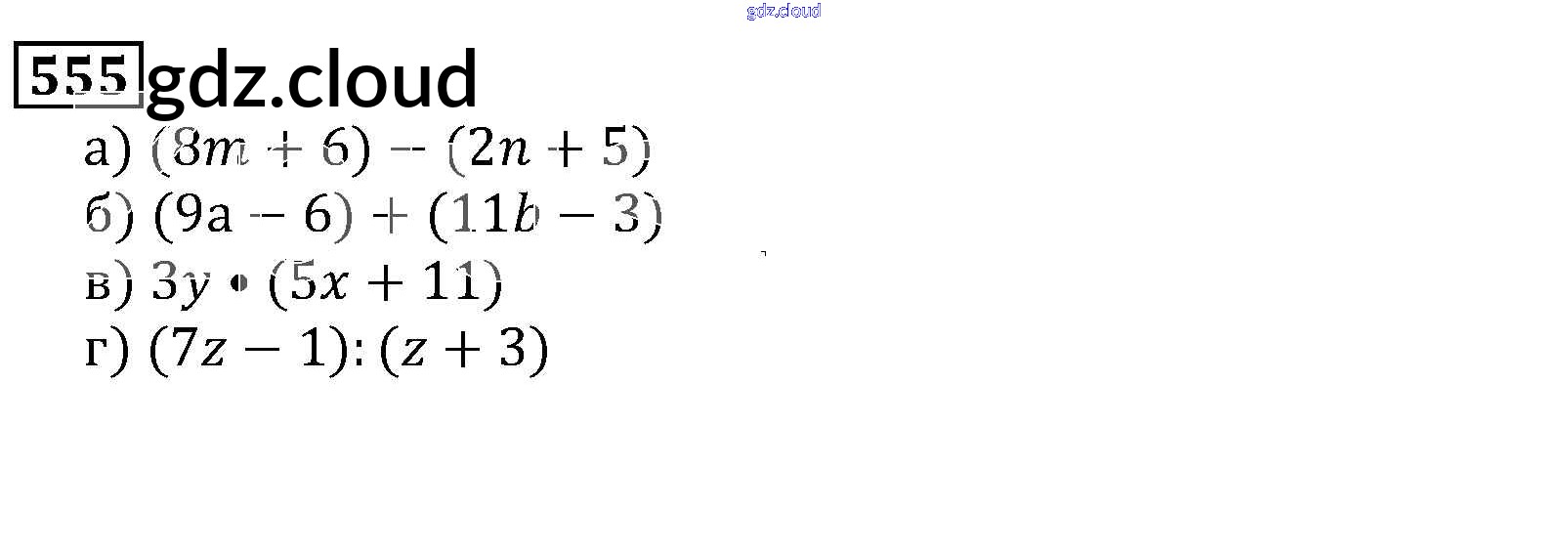
глава 1 / 555

Решебник №2

глава 1 / 555

Решебник №3

глава 1 / 555

Решебник №4

глава 1 / 555

Решебник №6

глава 1 / 555

Решебник №7

глава 1 / 555

Решебник №8

глава 1 / 555

Ответ на задание 555 Учебник Математика за 5 (пятый) класс Виленкин, Жохов, Чесноков, Шварцбурд 2013 ФГОС онлайн и без номера телефона.