Ответы к Части 1. Упражнения по Математике 5 класс Учебник Петерсон Часть 1, 2 Ювента

Решебник 1

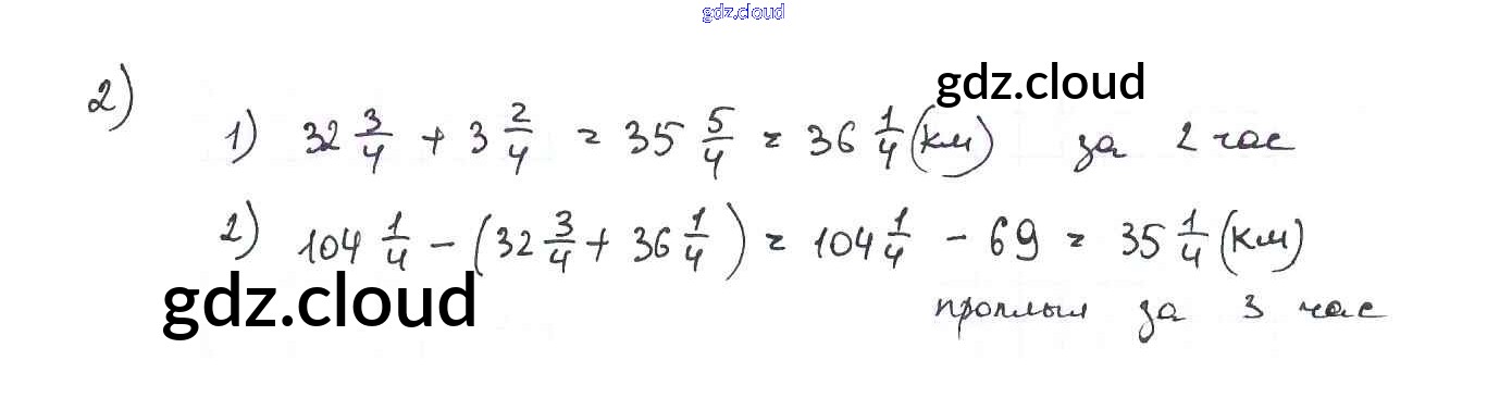
часть 1. упражнение / 316

Решебник 2

часть 1. упражнение / 316

Ответ на задание 316 Учебник Математика за 5 (пятый) класс Петерсон, Дорофеев 2014 Часть 1, 2 ФГОС онлайн и без номера телефона.