Вариант 3 Ответы к Самостоятельным работам по Математике 5 класс Дидактические материалы Чесноков Академкнига

Решебник 1

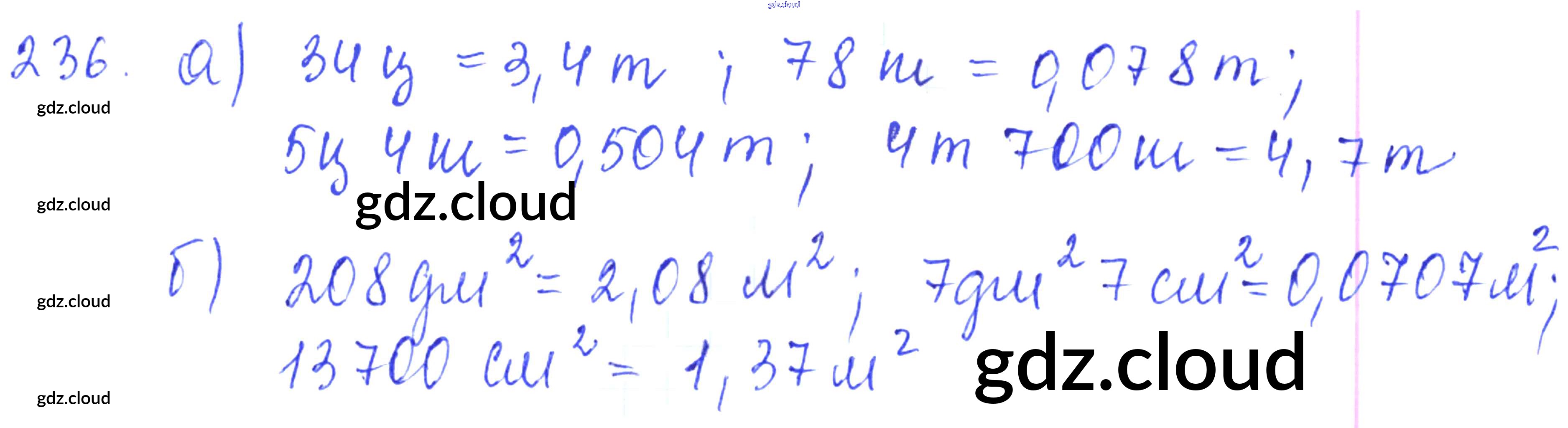
самостоятельная работа / вариант 3 / 236

Решебник 2

самостоятельная работа / вариант 3 / 236

Ответ на задание 236 Дидактические материалы Математика за 5 (пятый) класс Чесноков, Нешков 2014 ФГОС онлайн и без номера телефона.