Ответы к части 2 (упражнения) по Математике 4 класс Учебник Чекин Перспективная начальная школа Часть 1, 2 Академкнига

Решебник №1

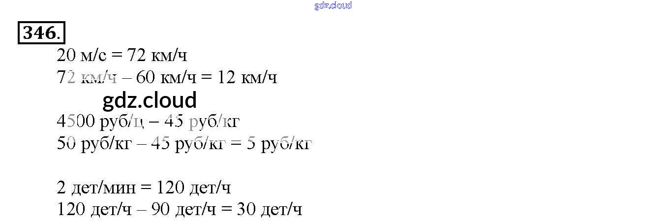
часть 2 / 346

Решебник №2

часть 2 / 346

Решебник №3

часть 2 / 346

Решебник №4

часть 2 / 346

Ответ на задание 346 Учебник Математика за 4 (четвертый) класс Чекин Перспективная начальная школа 2012 Часть 1, 2 ФГОС онлайн и без номера телефона.