Страница 83 Ответы к части 1 по Математике 3 класс Учебник Моро Школа России Часть 1, 2 Просвещение

Учебник

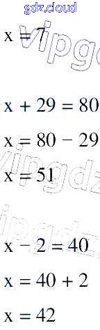
часть 1 / страница 83 / 7

Решебник 1

часть 1 / страница 83 / 7

Решебник 2

часть 1 / страница 83 / 7

Решебник 3

часть 1 / страница 83 / 7

Решебник 4

часть 1 / страница 83 / 7

Решебник 5

часть 1 / страница 83 / 7

Решебник 6

часть 1 / страница 83 / 7

Решебник 7

часть 1 / страница 83 / 7

Ответ на задание 7 Учебник Математика за 3 (третий) класс Моро, Бантова, Бельтюкова, Волкова, Степанова Школа России 2015 Часть 1, 2 ФГОС онлайн и без номера телефона.