Ответы к задачам по Физике 10, 11 класс Задачник Рымкевич УМК Дрофа

Решебник №1

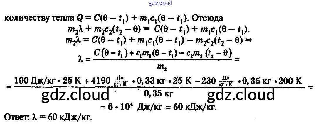
задача / 660

Решебник №2

задача / 660

Решебник №3

задача / 660

Ответ на задание 660 Задачник Физика за 10, 11 (десятый, одиннадцатый) класс Рымкевич УМК 2013 ФГОС онлайн и без номера телефона.