Ответы к Заданиям для повторения (с 613 по 997) по Алгебре 8 класс Учебник Никольский МГУ - школе Просвещение

Решебник

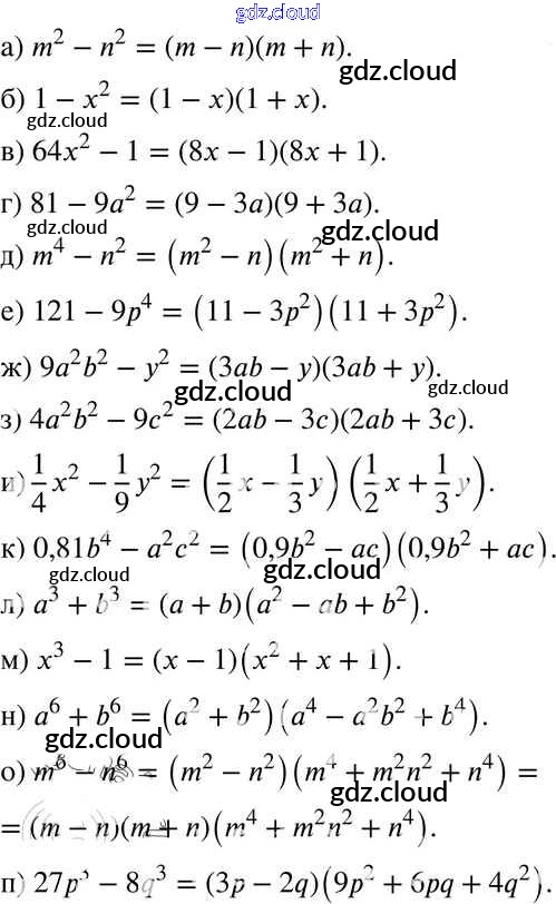
повторение / 695

Решебник №2

повторение / 695

Решебник №3

повторение / 695

Ответ на задание 695 Учебник Алгебра за 8 (восьмой) класс Никольский, Потапов, Решетников, Шевкин МГУ - школе 2014 ФГОС онлайн и без номера телефона.