Ответы к Главе 2 (упражнения с 198 по 358) по Алгебре 8 класс Учебник Никольский МГУ - школе Просвещение

Решебник

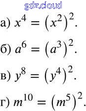
глава 2 / 295

Решебник №2

глава 2 / 295

Решебник №3

глава 2 / 295

Ответ на задание 295 Учебник Алгебра за 8 (восьмой) класс Никольский, Потапов, Решетников, Шевкин МГУ - школе 2014 ФГОС онлайн и без номера телефона.