§23. Решение уравнений, сводящихся к квадратным уравнениям Ответы к Главе 3. Квадратные уравнения по Алгебре 8 класс Учебник Мерзляк Алгоритм успеха Вентана-граф

Решебник №1

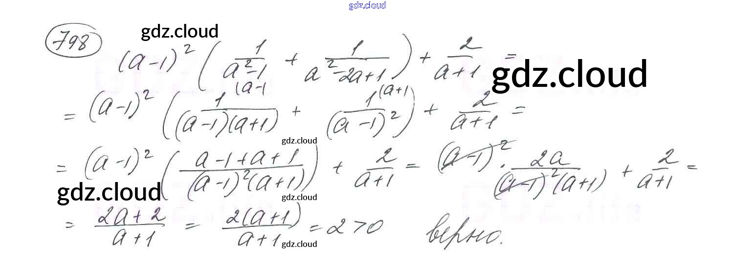
глава 3 / §23 / 798

Решебник №2

глава 3 / §23 / 798

Решебник №3

глава 3 / §23 / 798

Решебник №4

глава 3 / §23 / 798

Решебник №5

глава 3 / §23 / 798

Решебник №6

глава 3 / §23 / 798

Ответ на задание 798 Учебник Алгебра за 8 (восьмой) класс Мерзляк, Полонский, Якир Алгоритм успеха 2016 ФГОС онлайн и без номера телефона.