§16. Свойства арифметического квадратного корня Ответы к Главе 2. Квадратные корни. Действительные числа по Алгебре 8 класс Учебник Мерзляк Алгоритм успеха Вентана-граф

Решебник №1

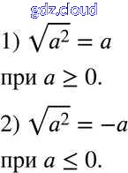
глава 2 / §16 / 504

Решебник №2

глава 2 / §16 / 504

Решебник №3

глава 2 / §16 / 504

Решебник №4

глава 2 / §16 / 504

Решебник №5

глава 2 / §16 / 504

Решебник №6

глава 2 / §16 / 504

Ответ на задание 504 Учебник Алгебра за 8 (восьмой) класс Мерзляк, Полонский, Якир Алгоритм успеха 2016 ФГОС онлайн и без номера телефона.