§12. Квадратные корни. Арифметический квадратный корень Ответы к Главе 2. Квадратные корни. Действительные числа по Алгебре 8 класс Учебник Мерзляк Алгоритм успеха Вентана-граф

Решебник №1

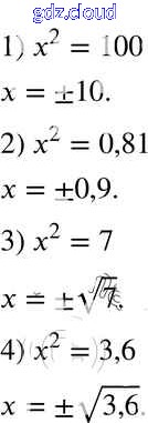
глава 2 / §12 / 396

Решебник №2

глава 2 / §12 / 396

Решебник №3

глава 2 / §12 / 396

Решебник №4

глава 2 / §12 / 396

Решебник №5

глава 2 / §12 / 396

Решебник №6

глава 2 / §12 / 396

Ответ на задание 396 Учебник Алгебра за 8 (восьмой) класс Мерзляк, Полонский, Якир Алгоритм успеха 2016 ФГОС онлайн и без номера телефона.