§9. Свойства степени с целым показателем Ответы к Главе 1. Рациональные выражения по Алгебре 8 класс Учебник Мерзляк Алгоритм успеха Вентана-граф

Решебник №1

глава 1 / §9 / 283

Решебник №2

глава 1 / §9 / 283

Решебник №3

глава 1 / §9 / 283

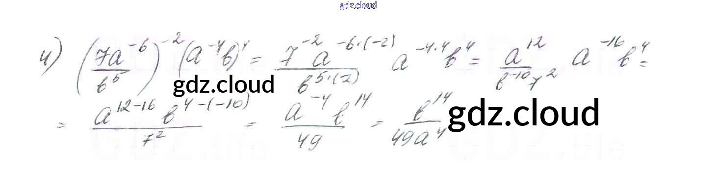
Решебник №4

глава 1 / §9 / 283

Решебник №5

глава 1 / §9 / 283

Решебник №6

глава 1 / §9 / 283

Ответ на задание 283 Учебник Алгебра за 8 (восьмой) класс Мерзляк, Полонский, Якир Алгоритм успеха 2016 ФГОС онлайн и без номера телефона.