§8. Степень с целым отрицательным показателем Ответы к Главе 1. Рациональные выражения по Алгебре 8 класс Учебник Мерзляк Алгоритм успеха Вентана-граф

Решебник №1

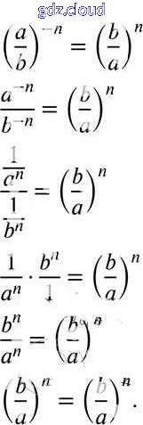
глава 1 / §8 / 250

Решебник №2

глава 1 / §8 / 250

Решебник №3

глава 1 / §8 / 250

Решебник №4

глава 1 / §8 / 250

Решебник №5

глава 1 / §8 / 250

Решебник №6

глава 1 / §8 / 250

Ответ на задание 250 Учебник Алгебра за 8 (восьмой) класс Мерзляк, Полонский, Якир Алгоритм успеха 2016 ФГОС онлайн и без номера телефона.