§6. Тождественные преобразования рациональных выражений Ответы к Главе 1. Рациональные выражения по Алгебре 8 класс Учебник Мерзляк Алгоритм успеха Вентана-граф

Решебник №1

глава 1 / §6 / 181

Решебник №2

глава 1 / §6 / 181

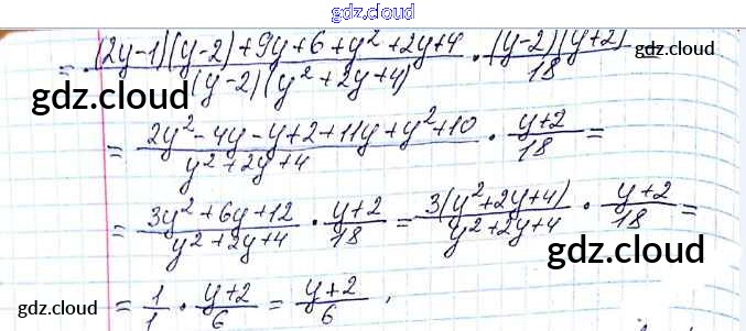
Решебник №3

глава 1 / §6 / 181

Решебник №4

глава 1 / §6 / 181

Решебник №5

глава 1 / §6 / 181

Решебник №6

глава 1 / §6 / 181

Ответ на задание 181 Учебник Алгебра за 8 (восьмой) класс Мерзляк, Полонский, Якир Алгоритм успеха 2016 ФГОС онлайн и без номера телефона.