§1. Рациональные дроби Ответы к Главе 1. Рациональные выражения по Алгебре 8 класс Учебник Мерзляк Алгоритм успеха Вентана-граф

Решебник №1

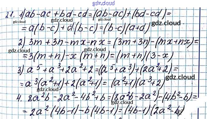
глава 1 / §1 / 21

Решебник №2

глава 1 / §1 / 21

Решебник №3

глава 1 / §1 / 21

Решебник №4

глава 1 / §1 / 21

Решебник №5

глава 1 / §1 / 21

Решебник №6

глава 1 / §1 / 21

Ответ на задание 21 Учебник Алгебра за 8 (восьмой) класс Мерзляк, Полонский, Якир Алгоритм успеха 2016 ФГОС онлайн и без номера телефона.