Ответы к Итоговому повторению по Алгебре 8 класс Задачник Мишустина Базовый уровень Часть 2 Мнемозина

Условия

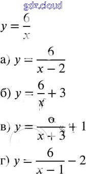
повторение / 6

Решебник 1

повторение / 6

Решебник 2

повторение / 6

Ответ на задание 6 Задачник Алгебра за 8 (восьмой) класс Мишустина, Мордкович, Тульчинская Базовый уровень 2015 Часть 2 ФГОС онлайн и без номера телефона.