Ответы к Параграфу 14 по Алгебре 8 класс Задачник Мишустина Базовый уровень Часть 2 Мнемозина

Условия

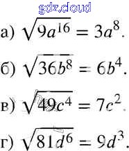
параграф 14 / 15

Решебник 1

параграф 14 / 15

Решебник 2

параграф 14 / 15

Ответ на задание 15 Задачник Алгебра за 8 (восьмой) класс Мишустина, Мордкович, Тульчинская Базовый уровень 2015 Часть 2 ФГОС онлайн и без номера телефона.