Ответы к Параграфу 11 по Алгебре 8 класс Задачник Мишустина Базовый уровень Часть 2 Мнемозина

Условия

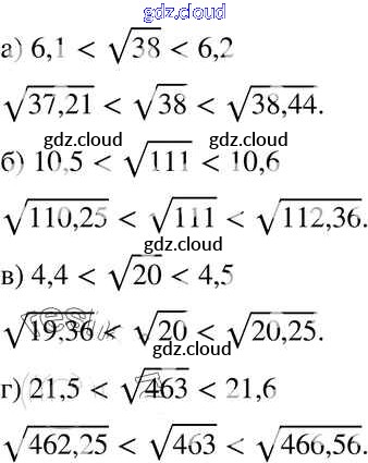
параграф 11 / 2

Решебник 1

параграф 11 / 2

Решебник 2

параграф 11 / 2

Ответ на задание 2 Задачник Алгебра за 8 (восьмой) класс Мишустина, Мордкович, Тульчинская Базовый уровень 2015 Часть 2 ФГОС онлайн и без номера телефона.