§35. Квадратный трехчлен Ответы к Главе 6. Квадратные уравнения по Алгебре 8 класс Учебник Мерзляк Алгоритм успеха Углубленный уровень Вентана-граф
Решебник 1
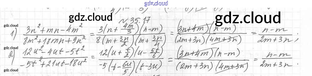
глава 6 / §35 / 17
Ответ на задание 17 Учебник Алгебра за 8 (восьмой) класс Мерзляк, Поляков Алгоритм успеха Углубленный уровень 2020
ФГОС онлайн и без номера телефона.