§30. Тождественные преобразования выражений, содержащих арифметические квадратные корни Ответы к Главе 5. Квадратные корни. Действительные числа по Алгебре 8 класс Учебник Мерзляк Алгоритм успеха Углубленный уровень Вентана-граф
Решебник 1
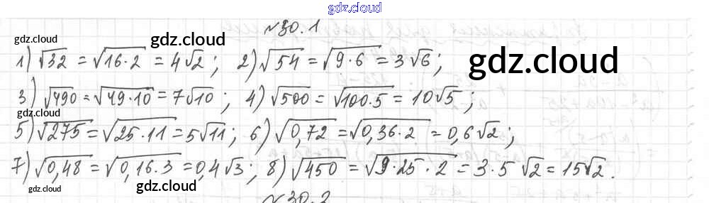
глава 5 / §30 / 1
Ответ на задание 1 Учебник Алгебра за 8 (восьмой) класс Мерзляк, Поляков Алгоритм успеха Углубленный уровень 2020
ФГОС онлайн и без номера телефона.