§23. Неравенства с одной переменной Ответы к Главе 4. Неравенства по Алгебре 8 класс Учебник Мерзляк Алгоритм успеха Углубленный уровень Вентана-граф
Решебник 1
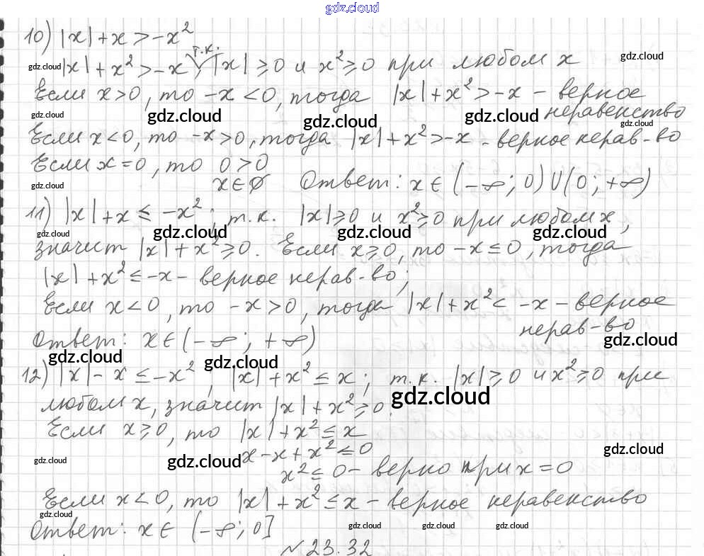
глава 4 / §23 / 31
Ответ на задание 31 Учебник Алгебра за 8 (восьмой) класс Мерзляк, Поляков Алгоритм успеха Углубленный уровень 2020
ФГОС онлайн и без номера телефона.