§7. Сложение и вычитание рациональных дробей с одинаковыми знаменателями Ответы к Главе 2. Рациональные выражения по Алгебре 8 класс Учебник Мерзляк Алгоритм успеха Углубленный уровень Вентана-граф
Решебник 1
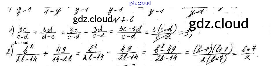
глава 2 / §7 / 6
Ответ на задание 6 Учебник Алгебра за 8 (восьмой) класс Мерзляк, Поляков Алгоритм успеха Углубленный уровень 2020
ФГОС онлайн и без номера телефона.