Вариант 2 Ответы к Упражнениям по Алгебре 8 класс Дидактические материалы Мерзляк Алгоритм успеха Вентана-граф

Решебник 1

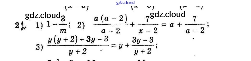
упражнение / вариант 2 / 22

Решебник 2

упражнение / вариант 2 / 22

Ответ на задание 22 Дидактические материалы Алгебра за 8 (восьмой) класс Мерзляк, Полонский, Рябинович, Якир Алгоритм успеха 2016 ФГОС онлайн и без номера телефона.