Ответы к Упражнениям по Алгебре 8 класс Учебник Макарычев Просвещение

Учебник

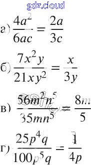
упражнение / 26

Решебник №1

упражнение / 26

Решебник №2

упражнение / 26

Решебник №3

упражнение / 26

Решебник №4

упражнение / 26

Решебник №5

упражнение / 26

Решебник №6

упражнение / 26

Решебник №7

упражнение / 26

Ответ на задание 26 Учебник Алгебра за 8 (восьмой) класс Макарычев, Миндюк, Нешков, Суворова 2016 ФГОС онлайн и без номера телефона.