Ответы к Упражнениям по Алгебре 8 класс Учебник Макарычев Просвещение

Учебник

упражнение / 21

Решебник №1

упражнение / 21

Решебник №2

упражнение / 21

Решебник №3

упражнение / 21

Решебник №4

упражнение / 21

Решебник №5

упражнение / 21

Решебник №6

упражнение / 21

Решебник №7

упражнение / 21

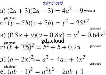
Ответ на задание 21 Учебник Алгебра за 8 (восьмой) класс Макарычев, Миндюк, Нешков, Суворова 2016 ФГОС онлайн и без номера телефона.