Ответы. Упражнения по Алгебре 7 класс Учебник Макарычев Просвещение

Решебник №1

упражнение / 814

Решебник №2

упражнение / 814

Решебник №3

упражнение / 814

Решебник №5

упражнение / 814

Решебник №6

упражнение / 814

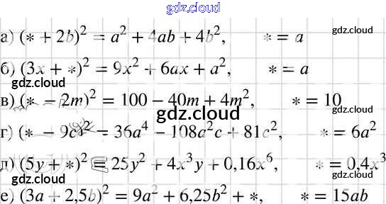
Ответ на задание 814 Учебник Алгебра за 7 (седьмой) класс Макарычев, Миндюк, Нешков, Суворова 2015 ФГОС онлайн и без номера телефона.