Ответы. Упражнения  по Алгебре 7 класс Учебник Макарычев    Просвещение
        
    
        
            
            
                                                                
            
                                                                
                                                
                        Решебник №1
                    
                                            
                            упражнение / 395
                        
                                                                                                                            
                                                                                                                                        
                        Решебник №2
                    
                                            
                            упражнение / 395
                        
                                                                                                                            
                                                                                                                                        
                        Решебник №3
                    
                                            
                            упражнение / 395
                        
                                                                                                                            
                                                                                                                                                                    
                        Решебник №5
                    
                                            
                            упражнение / 395
                        
                                                                                                                            
                                                                                                                                        
                        Решебник №6
                    
                                            
                            упражнение / 395
                        
                                                                                                                            
                                                                                                                
         
     
    
            
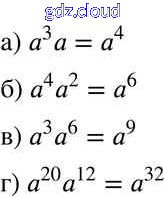
            Ответ на задание 395 Учебник Алгебра  за 7 (седьмой) класс Макарычев, Миндюк, Нешков, Суворова   2015 
ФГОС онлайн и без номера телефона.