Ответы. Упражнения по Алгебре 7 класс Учебник Макарычев Просвещение

Решебник №1

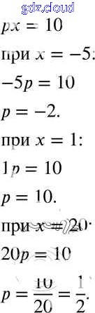
упражнение / 239

Решебник №2

упражнение / 239

Решебник №3

упражнение / 239

Решебник №4

упражнение / 239

Решебник №5

упражнение / 239

Решебник №6

упражнение / 239

Ответ на задание 239 Учебник Алгебра за 7 (седьмой) класс Макарычев, Миндюк, Нешков, Суворова 2015 ФГОС онлайн и без номера телефона.