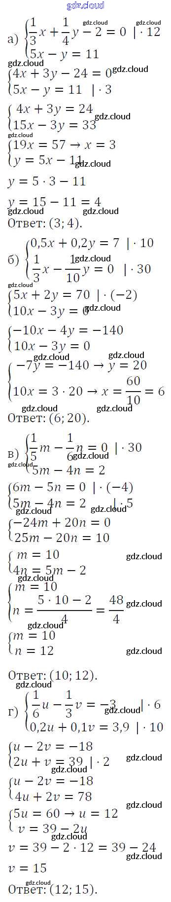
Ответы. Упражнения по Алгебре 7 класс Учебник Макарычев Просвещение

Решебник №1

упражнение / 1093

Решебник №2

упражнение / 1093

Решебник №3

упражнение / 1093

Решебник №5

упражнение / 1093

Решебник №6

упражнение / 1093

Ответ на задание 1093 Учебник Алгебра за 7 (седьмой) класс Макарычев, Миндюк, Нешков, Суворова 2015 ФГОС онлайн и без номера телефона.