§20. Способ группировки Ответы к Главе 4. Разложение многочленов на множители по Алгебре 7 класс Учебник Алимов Просвещение

Решебник

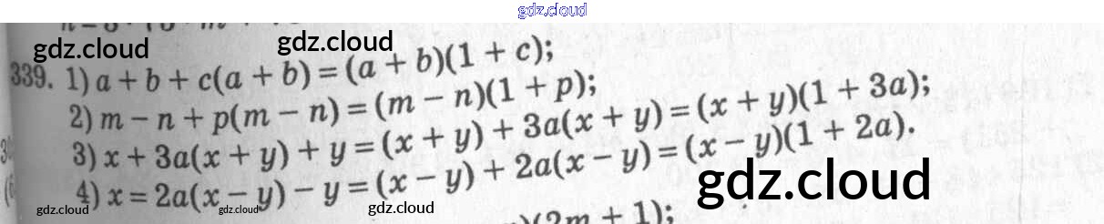
глава 4 / §20 / 339

Решебник к старому учебнику

глава 4 / §20 / 339

Ответ на задание 339 Учебник Алгебра за 7 (седьмой) класс Алимов, Колягин, Сидоров, Ткачева, Федорова, Шабунин 2014 ФГОС онлайн и без номера телефона.