Ответы к §3. Свойства степеней с натуральными показателями  по Алгебре 7 класс Учебник Мордкович    Просвещение
        
    
    
            
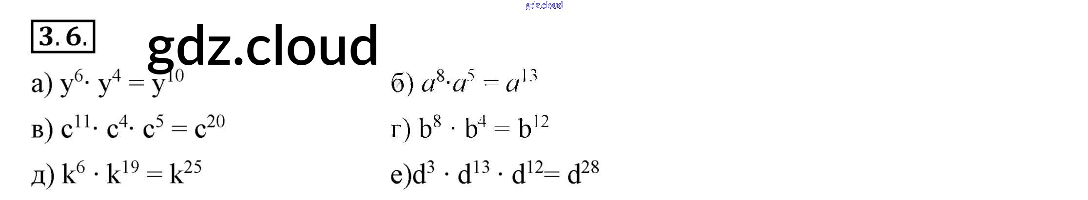
            Ответ на задание 3.6 Учебник Алгебра  за 7 (седьмой) класс Мордкович, Семёнов, Александрова, Мардахаева   2018 
ФГОС онлайн и без номера телефона.