Ответы к Главе 9. Итоговое повторение по Алгебре 7 класс Задачник Мордкович Базовый уровень Часть 2 Мнемозина

Условия

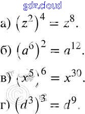
глава 9. итоговое повторение / 118

Решебник №1

глава 9. итоговое повторение / 118

Решебник №2

глава 9. итоговое повторение / 118

Решебник №3

глава 9. итоговое повторение / 118

Ответ на задание 118 Задачник Алгебра за 7 (седьмой) класс Мордкович, Александрова, Мишустина, Тульчинская Базовый уровень 2013 Часть 2 ФГОС онлайн и без номера телефона.