§ 35. Сокращение алгебраических дробей Ответы к Главе 7 по Алгебре 7 класс Задачник Мордкович  Базовый уровень Часть 2 Мнемозина
        
    
        
            
            
                                                                
            
                                                                
                                                
                        Условия
                    
                                            
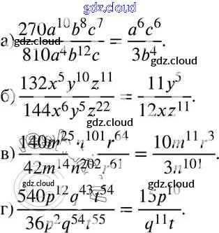
                            глава 7 / § 35 / 31
                        
                                                                                                                            
                                                                                                                                        
                        Решебник №1
                    
                                            
                            глава 7 / § 35 / 31
                        
                                                                                                                            
                                                                                                                                        
                        Решебник №2
                    
                                            
                            глава 7 / § 35 / 31
                        
                                                                                                                            
                                                                                                                                        
                        Решебник №3
                    
                                            
                            глава 7 / § 35 / 31
                        
                                                                                                                            
                                                                                                                
         
     
    
            
            Ответ на задание 31 Задачник Алгебра  за 7 (седьмой) класс Мордкович, Александрова, Мишустина, Тульчинская  Базовый уровень 2013 Часть 2
ФГОС онлайн и без номера телефона.