§ 35. Сокращение алгебраических дробей Ответы к Главе 7 по Алгебре 7 класс Задачник Мордкович Базовый уровень Часть 2 Мнемозина

Условия

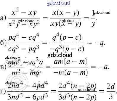
глава 7 / § 35 / 13

Решебник №1

глава 7 / § 35 / 13

Решебник №2

глава 7 / § 35 / 13

Решебник №3

глава 7 / § 35 / 13

Ответ на задание 13 Задачник Алгебра за 7 (седьмой) класс Мордкович, Александрова, Мишустина, Тульчинская Базовый уровень 2013 Часть 2 ФГОС онлайн и без номера телефона.