§ 23. Деление одночлена на одночлен Ответы к Главе 5 по Алгебре 7 класс Задачник Мордкович Базовый уровень Часть 2 Мнемозина

Условия

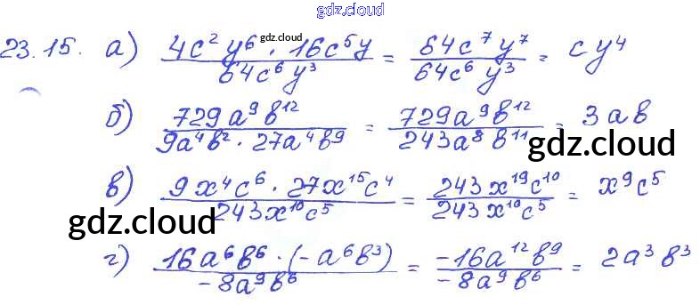
глава 5 / § 23 / 15

Решебник №1

глава 5 / § 23 / 15

Решебник №2

глава 5 / § 23 / 15

Решебник №3

глава 5 / § 23 / 15

Ответ на задание 15 Задачник Алгебра за 7 (седьмой) класс Мордкович, Александрова, Мишустина, Тульчинская Базовый уровень 2013 Часть 2 ФГОС онлайн и без номера телефона.