§ 18. Умножение и деление степеней с одинаковыми показателями Ответы к Главе 4 по Алгебре 7 класс Задачник Мордкович Базовый уровень Часть 2 Мнемозина

Условия

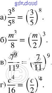
глава 4 / § 18 / 16

Решебник №1

глава 4 / § 18 / 16

Решебник №2

глава 4 / § 18 / 16

Решебник №3

глава 4 / § 18 / 16

Ответ на задание 16 Задачник Алгебра за 7 (седьмой) класс Мордкович, Александрова, Мишустина, Тульчинская Базовый уровень 2013 Часть 2 ФГОС онлайн и без номера телефона.