§ 2. Что такое математический язык Ответы к Главе 1 по Алгебре 7 класс Задачник Мордкович Базовый уровень Часть 2 Мнемозина

Условия

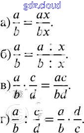
глава 1 / § 2 / 21

Решебник №1

глава 1 / § 2 / 21

Решебник №2

глава 1 / § 2 / 21

Решебник №3

глава 1 / § 2 / 21

Ответ на задание 21 Задачник Алгебра за 7 (седьмой) класс Мордкович, Александрова, Мишустина, Тульчинская Базовый уровень 2013 Часть 2 ФГОС онлайн и без номера телефона.