Ответы к Упражнениям по Алгебре 7 класс Учебник Мерзляк Алгоритм успеха Базовый уровень Вентана-граф

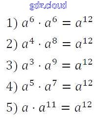
Условия

упражнение / 207

Решебник №1

упражнение / 207

Решебник №2

упражнение / 207

Решебник №4

упражнение / 207

Решебник №5

упражнение / 207

Ответ на задание 207 Учебник Алгебра за 7 (седьмой) класс Мерзляк, Полонский, Якир Алгоритм успеха Базовый уровень 2016 ФГОС онлайн и без номера телефона.