Ответы к Варианту 2 по Алгебре 7 класс Дидактические материалы Мерзляк УМК Вентана-граф

Решебник №1

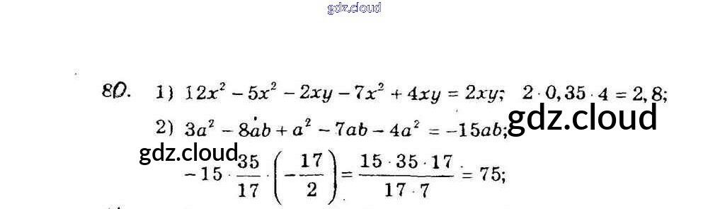
вариант 2 / 80

Решебник №2

вариант 2 / 80

Решебник №3

вариант 2 / 80

Ответ на задание 80 Дидактические материалы Алгебра за 7 (седьмой) класс Мерзляк, Полонский, Рабинович, Якир УМК 2017 ФГОС онлайн и без номера телефона.